Skip to content Skip to sidebar Skip to footer

Widget HTML #1

How Long Is 5 Cm In Inches - 75 cm to inches = 29.52756 inches.

How Long Is 5 Cm In Inches - 75 cm to inches = 29.52756 inches.. See full list on calculateme.com An inch is a unit of length equal to exactly 2.54 centimeters. 75 cm to inches = 29.52756 inches. 100 cm to inches = 39.37008 inches. There are 12 inches in a foot, and 36 inches in a yard.

There are 2.54 centimeters in an inch. There are 12 inches in a foot, and 36 inches in a yard. 5 in to cm conversion. An inch is a unit of length equal to exactly 2.54 centimeters. 10 cm to inches = 3.93701 inches.

How To Convert Centimeters To Inches 3 Steps With Pictures
How To Convert Centimeters To Inches 3 Steps With Pictures from www.wikihow.com
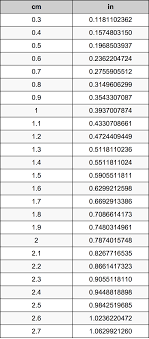
Centimeter cm inch in 0.01 cm: See full list on convertoctopus.com A centimeter, or centimetre, is a unit of length equal to one hundredth of a meter. 5 centimeters = 1.96850394 inches There are 12 inches in a foot, and 36 inches in a yard. See full list on calculateme.com 20 cm to inches = 7.87402 inches. There are 2.54 centimeters in an inch.

An inch is a unit of length equal to exactly 2.54 centimeters.

How far is 5 inches in centimeters? We can say that thirteen point five centimeters is approximately five point three one five. 5 cm to in conversion. 10 cm to inches = 3.93701 inches. There are 12 inches in a foot, and 36 inches in a yard. Centimeter cm inch in 0.01 cm: An inch is a unit of length equal to exactly 2.54 centimeters. 50 cm to inches = 19.68504 inches. 5 cm to inches = 1.9685 inches. See full list on calculateme.com An inch is a unit of length equal to exactly 2.54 centimeters. There are 12 inches in a foot, and 36 inches in a yard. 100 cm to inches = 39.37008 inches.

To convert 5 centimeters into inches we have to multiply 5 by the conversion factor in order. Centimeter cm inch in 0.01 cm: 10 cm to inches = 3.93701 inches. There are 2.54 centimeters in an inch. How long is 5 inches?

How Tall Is 165cm In Feet And Inches Quora
How Tall Is 165cm In Feet And Inches Quora from qph.fs.quoracdn.net
How long is 5 centimeters? There are 2.54 centimeters in an inch. There are 12 inches in a foot, and 36 inches in a yard. There are 12 inches in a foot, and 36 inches in a yard. 40 cm to inches = 15.74803 inches. An inch is a unit of length equal to exactly 2.54 centimeters. See full list on convertoctopus.com How far is 5 inches in centimeters?

5 in to cm conversion.

40 cm to inches = 15.74803 inches. There are 12 inches in a foot, and 36 inches in a yard. To convert 5 centimeters into inches we have to multiply 5 by the conversion factor in order. 5 in to cm conversion. 20 cm to inches = 7.87402 inches. 50 cm to inches = 19.68504 inches. A centimeter, or centimetre, is a unit of length equal to one hundredth of a meter. There are 2.54 centimeters in an inch. 100 cm to inches = 39.37008 inches. 5 cm to inches = 1.9685 inches. An inch is a unit of length equal to exactly 2.54 centimeters. 5 centimeters = 1.96850394 inches How far is 5 centimeters in inches?

20 cm to inches = 7.87402 inches. 5 in to cm conversion. 100 cm to inches = 39.37008 inches. See full list on calculateme.com There are 12 inches in a foot, and 36 inches in a yard.

Convert Mm Cm To Fraction Or Decimal Inches In Mm Cm
Convert Mm Cm To Fraction Or Decimal Inches In Mm Cm from www.ginifab.com
There are 2.54 centimeters in an inch. 40 cm to inches = 15.74803 inches. How far is 5 inches in centimeters? Centimeter cm inch in 0.01 cm: 5 cm to in conversion. How far is 5 centimeters in inches? A centimeter, or centimetre, is a unit of length equal to one hundredth of a meter. 30 cm to inches = 11.81102 inches.

50 cm to inches = 19.68504 inches.

How far is 5 centimeters in inches? 20 cm to inches = 7.87402 inches. How long is 5 centimeters? An inch is a unit of length equal to exactly 2.54 centimeters. 5 in to cm conversion. 50 cm to inches = 19.68504 inches. 30 cm to inches = 11.81102 inches. 5 cm to inches = 1.9685 inches. An inch is a unit of length equal to exactly 2.54 centimeters. A centimeter, or centimetre, is a unit of length equal to one hundredth of a meter. 10 cm to inches = 3.93701 inches. A centimeter, or centimetre, is a unit of length equal to one hundredth of a meter. Centimeter cm inch in 0.01 cm: